Derivada Del Seno Cuadrado
Por lo que la derivada es. Vamos a ver otro ejemplo donde en este caso la función seno está calculada sobre una función que no es la variable simplemente sino que es otra función u de x.
La derivada del seno es igual a cosx.

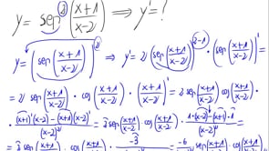
Derivada del seno cuadrado. Por lo tanto usamos la regla de la cadena para diferenciar el cuadrado de una cantidad fracd. Seno de x al cuadrado multiplicar por tangente de x seno de x en el grado dos multiplicar por tangente de x sinx2tanx. Lo primero que podemos observar es que esta función está compuesta por un cociente de funciones.
El día de hoy vamos a resolver la derivada de la función HDX que es igual a X por coseno de X entre seno de X. Recordando la integral del seno. La derivada del coseno de una función es igual a menos el seno de la función por la derivada de la función.
Una primitiva del seno es igual a -cosx. Su derivada es la derivada del cuadrado por la del seno. Ahora derivamos con regla de la cadena donde.
La derivada del seno cuadrado de cualquier argumento. La derivada del coseno es igual a menos el seno. D tan x dx 1 cos2 x Derivada de un arcoseno.
Utilizaremos la identidad de la suma de ángulos para el seno. Su derivada es la derivada del seno por la derivada del cuadrado. En este vídeo calculamos la derivada del coseno al cuadrado de un polinomio.
La función seno es una función impar en otras palabras para todo real x sin-x-sinx. Loslas mejores profesoresas de Matemáticas que están disponibles. La cantidad particularmente la cantidad de sen x.
Es esto nos dice directamente que la derivada de. 2 Calcula la derivada de. A todos bienvenidos a un nuevo video del canal Resolviendo Matemáticas.
Una aplicación del EMC nos dice que y es el seno de una cantidad. Con esto ya podemos encontrar el límite de utilizando la definición. Es igual a la inversa del cuadrado del coseno.
D cos x dx sin x Derivada de una tangente. Tenemos las mismas funciones pero con el orden de composición intercambiado. Entonces y pecado 2 x - es una función de potencia ya que el seno es cuadrado.
Antes de derivar utilicemos la siguiente propiedad del logaritmo. Calculadora gratuita de derivadas Solucionador de derivadas paso por paso. Al evaluar esta expresión Sin 2 x es necesario recordar cómo se diferencia una función compleja.
Básicamente la regla de la cadena se puede resumir como derivar y multiplicar por la derivada de lo de dentro. Es decir término a término como si fueran funciones diferentes. Ahora aplicamos la regla de la derivada de una divesión.
Derivada De Funciones Trigonométricas. Arco seno hiperbólico fx arcsinhx f0x p1 x21 Arco coseno hiperbólico fx arccoshx f0x p1 x2 1 Arco tangente hiperbólico fx arctanhx f0x 1 1 x2 Arco cosecante hiperbólico fx arccschx f0x 1 jxj p 1x2 Arco secante hiperbólico fx arcsechx f0x 1 jxj p 1 x2 Arco cotangente hiperbólico fx arccothx f0. Derivada de un seno.
La derivada de la cosecante de una función w es igual a la derivada de la función con signo negativo por el coseno de la función dividido por su seno al cuadrado. Aplicando las reglas trigonométricas esta derivada también la podemos definir. Recordemos que la derivada de la función.
Paridad de la función seno. La derivada de es 1 por lo que tenemos. Con 5 Ejemplos Resueltos explicación de cómo encontrar la derivada de funciones trigonométricas en este caso la función seno con ejercicios como seno cuadrado y seno de una ejercicios resueltos de derivación de funciones trigonométricas usando regla de la cadena.
La derivada de la función seno se da por fracddx sen x cos x Eso es todo lo que hay que hacer. La cual es la derivada que buscábamos. Para demostrar que la derivada del seno es el coseno debemos recordar dos límites notables.
Es igual al coseno de la función. Explicación de cómo encontrar la derivada de funciones trigonométricas en este caso la función seno con ejercicios como seno cuadrado y seno de una función. Ahora la integral indefinida es considera la operación inversa a integrar por lo tanto.
Primero utilizamos la linealidad de la derivada sacamos la constante. Si el vídeo te gustó y deseas apoyarme httpswwwpaypalmeShakmuria. D sin x dx cos x Derivada de un coseno.
La consecuencia para la curva representativa de la función seno es que admite el origen de la referencia como un punto. Es igual al seno de la función cambiado de signo. Aplicamos la derivada del seno y aplicamos la derivada de x cuadrado.

Derivadas Trigonometricas Derivada De La Cosecante Derivadas

Derivadas Trigonometricas Derivada De La Cosecante Derivadas

Derivadas Y Grficas U D 9 1 Bct
Videos In Derivadas 2 On Vimeo

Como Resolver Derivadas De Seno Curso Gratis

Derivada Del Seno Formula Y Ejercicios Resueltos

Derivada De La Cotangente Universo Formulas

Derivadas Trigonometricas Inversas Derivada Del Arcoseno Derivadas

Calcular Derivada Del Seno Cuadrado Del Coseno De 2x Youtube

Derivada Seno Al Cuadrado De Un Cociente Youtube

Derivada Del Seno Cuadrado De 3x Youtube

Derivada De Coseno Que Es Definicion Y Concepto 2021 Economipedia

Derivada Del Seno Cuadrado De 3x Youtube

Derivadas Derivada De Las Funciones Seno Y Coseno Youtube

Derivadas Trigonometricas Derivada De La Cotangente Derivadas

Derivada Del Seno Coseno Y Tangente Regla De La Cadena Derivadas Matematicas Youtube

Derivada Del Arcoseno Universo Formulas

Derivadas Trigonometricas Derivada De La Secante Derivadas







Posting Komentar untuk "Derivada Del Seno Cuadrado"